道德经智慧与通达信K线推演练习:如何进行训练及分析?
<炒股配资门户>道德经智慧与通达信K线推演练习:如何进行训练及分析?炒股配资门户>
既以为人己愈有,即以与人己愈多。----《道德经》
K线推演练习是什么?
在通达信软件里面,输入47,开启训练模式。
在这个模式里面,可以对K线的走势进行推演训练。可以选定日期,进行买卖交易训练。

近2年左右的数据,是可以看到60分钟以下的数据的,再早的电脑如何炒股软件,就需要下载分时数据来进行分析了。
K线推演怎么进行训练?
按照自己的交易模式,去进行分析就好了。
买点买,卖点卖,即可。
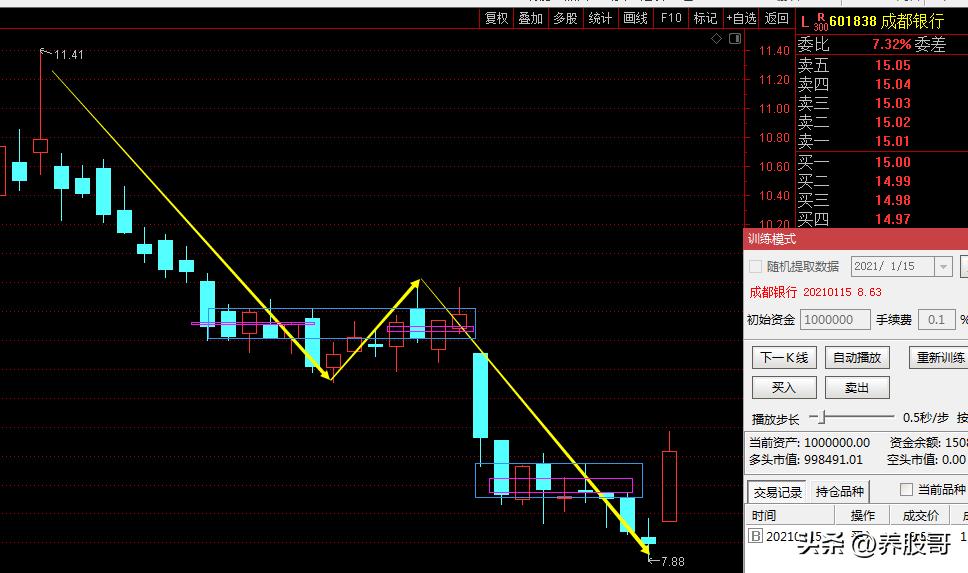
比如这个,时间调整到2021.1.15这一天。

周线上涨趋势,均线是红色。
再看日线。


日线是调整,出现分歧。是下跌趋势,均线是绿色的。
出现底分型就是买点。这个时候点买入,买入就可以。
这就是做训练,可以试试你的炒股水平到底如何。

这里的结构看一下,可以看3笔下,也可以看成是两个中枢。这里选第二种,趋势背驰。按照这个预期去看,预期就是后面就是日线一笔的走势上。
当然,这里只是举个例子。
每个人的分析方法不同,思路不一样。可以按照自己的思路去操作。
讲再多的技术,都不如实战。
所谓看太多的游泳技术道德经智慧与通达信K线推演练习:如何进行训练及分析?,不如下水扑腾几下。
读万卷书,不如行万里路。
仅此。
直播,咱试试这样。当然缠论内容会少讲一点,多一些大众的认知。








